新闻资讯
咨询热线
0898-08980898传真:0898-08980898
原创丨金属疲劳基础 之六 应变-寿命设计法
提到了几种形式的兰贝格-奥斯古德关系Ramberg-Osgood 方程,比如反映应力和弹性/塑性的总应变关系的σ-ε方程,滞后环的关系Δσ-Δε方程,不同幅值的尖点组成的σa-εa方程。现在可以聊聊应变-寿命曲线e-N(也就是ε-N)曲线。
啥也不说,有图有真相。工业实际中,通常在R=-1的对称循 环下,进行给定应变幅下的对称恒幅循环疲劳试验。图中,纵坐标是应变幅 ε 表示,横坐标是寿命N,通常约定成俗的用2N,(别问为什么,历史上某个大神的习惯。 N即为循环次数,每个循环有正负两个应变峰值,即为2N)。应变幅εa越小、寿命N越长;低于某一载荷水平(应力或应变幅),寿命可以趋于无穷大,这也是符合生活常识的。
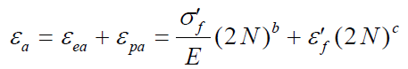
从前文可知,在稳定的滞后环上,总应变幅εa由弹性应变幅εea和塑性应变幅εpa这两个成分组成的。咳咳,敲黑板!下面划重点啦。弹性应变幅εea和塑性应变幅εpa两兄弟和寿命在log-log坐标系里面都很幸运的成线性关系,也即是上图中的Plastic strain和Elastic strain的两条直线。 啥也不说了,上公式吧。
直接看上述公式,第一个公式通常被叫着Basquins equation,第二个公式通常被叫着Manson-Coffin。 应变幅ε和寿命2N都是成指数关系,所以必须得两边取对数。谁感兴趣,直接用手算下。算完,你就能意识到b和c其实都是直线的斜率,并且两者都是负数,从上图曲线可知,塑性应变的直线更陡峭一些,因此,c的绝对值肯定大于b的绝对值。
其中,σf称为疲劳强度系数,具有应力量纲;E 是弹性模量,b为疲劳强度指数。εf称为疲劳延性系数,与应变一样,无量纲;c是疲劳延性指数。
最后,总的应变-寿命曲线就成了上面两个公式的相加。总应变-寿命曲线也就成了上图的曲线啦。
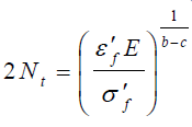
那好, 从上图可以看到,塑性应变直线和弹性应变直线在中间有个交点,因为它同时在两条直线上,所以,该点塑性应变和弹性应变相等εea=εpa。我们通常管它叫转变寿命Transition Fatigue Life。 对应的寿命点通常记着Nt。为什么叫这个名字?
这是因为转变寿命把应变-寿命曲线分为两个区域,也就是前文提到的低周疲劳寿命(LCF=Low Cycle Fatigue)和高周疲劳寿命(HCF= High Cycle Fatigue),分别见上图的左边LCF区域和右边HCF区域。
看在高周疲劳区域,以弹性应变幅εea为主,塑性应变幅εpa的影响可忽略,εa≈εea,也就是有:
此即反映应力疲劳性能的S-N曲线。 由于金属疲劳的内容太多,前文聊到应力-寿命的时候,没有提到S-N曲线的时候,没有提到其函数表示,现在补上。其实也就是上述公式的翻版。上式可以转变为:
也就是应力等于某常数乘以寿命的常数次幂。这也是S-N曲线的常用数学表达。常用哦。
再回到在低周疲劳,以塑性应变幅εpa为主,弹性应变幅εea影响可忽略,εa≈εpa,且有:
好了,转变寿命点2Nt基本上可以认为是塑性应变为主的低周疲劳区域和弹性应变为主的高周疲劳区域的转变点。
欲知如何使用应变-寿命法来进行设计还得看下文分解。我自己都觉到有点罗嗦啦。再忍忍。


